訪客
您好,歡迎使用本網站。
登入會員
本會介紹
最新消息
入退會須知
口腔衛教
活動剪影
電子公文
網路資源
討論區
會員專區
積分查詢
下載專區
全部瀏覽
文件下載
討論區
下載專區
聯絡我們
首頁
下載專區
搜尋內容
開始日期
結束日期
搜尋類別
選擇類別
文件下載
搜尋關鍵字
搜尋
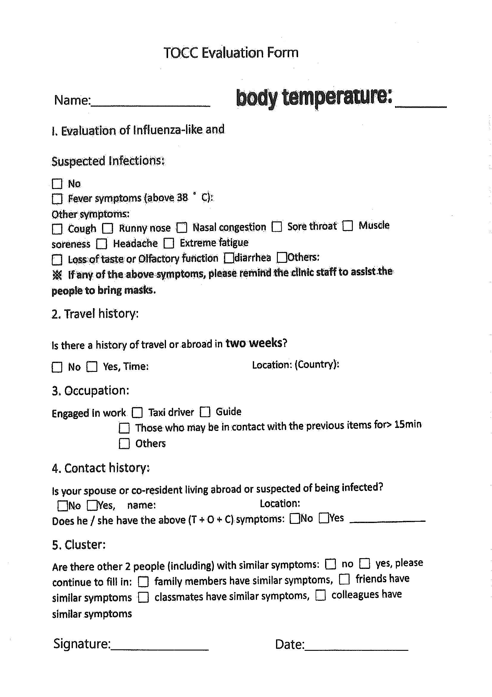
TOCC評估表
檔案下載
110診所感管考核-項目1附件-TOCC紀錄單-大臺中牙師公會-淺綠.jpg
TOCC評估表(防疫聲明書).pdf
TOCC評估表(防疫聲明書)-英文版-.jpg
類別
文件下載
使用權限
一般性
發佈日期
110/05/25
資料來源
秘書室
參考資料
http://
回上一頁
搜尋內容
會員專區
LINE@
LINE@
×
×
×
預設為牙醫師證書字號
(不含中文字,如:0070xx)
預設為會員生日
(民國紀元,yymmdd)
忘記密碼
取消
登入